Expert Guide: How to Select the Ideal Motor for Your Horizontal Multistage Pump
Expert Guide: How to Select the Ideal Motor for Your Horizontal Multistage Pump
Horizontal multistage pumps are the workhorses of high-pressure applications, from boiler feed systems and reverse osmosis to industrial pressure boosting. However, the pump itself is only half of the equation. The electric motor that drives it is the heart of the system, and making the wrong choice can lead to inefficiency, premature failure, and costly operational disruptions. An undersized motor will inevitably overheat and fail, while an oversized one wastes capital and electricity.
This guide provides a professional, step-by-step approach to selecting the perfect motor, ensuring your horizontal multistage pump operates at its peak for years to come.
What is a Horizontal Multistage Pump and Why is Motor Selection Crucial?
A horizontal multistage pump contains multiple impellers housed in a series within a single casing. As fluid passes from one impeller to the next, the pressure is progressively increased. This design makes them ideal for generating high head (pressure) at relatively low to moderate flow.
Because these pumps often operate under demanding conditions, the motor must be precisely matched to the pump's hydraulic requirements. A proper match ensures the pump runs at or near its Best Efficiency Point (BEP), minimizes energy consumption, and extends the service life of both the pump and the motor.
Step 1: Define Your Pumping Requirements (Flow and Head)
Before you can even think about a motor, you must know what the pump needs to do. The two most critical parameters are:
1.Flow Rate (Q): The volume of liquid the pump must move, usually measured in gallons per minute (GPM) or cubic meters per hour (m³/h).
2.Total Dynamic Head (H): The total resistance the pump must overcome. This includes the vertical height the fluid must be lifted, friction losses in the piping, and any pressure required at the destination. It is typically measured in feet or meters.
These values are determined by the needs of your system and are the foundation for all subsequent calculations. You will use them to identify the pump's duty point on its performance curve.
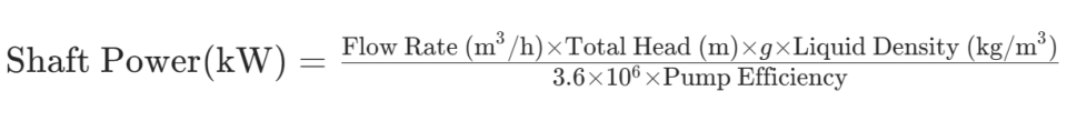
Step 2: Calculate the Required Motor power
Once you know the flow and head, you can calculate the required Brake Horsepower (BHP), which is the actual power needed to drive the pump shaft. The formula is:


1.Specific Gravity (SG): This is the ratio of the fluid's density to the density of water. For water, the SG is 1.0. For other fluids, you must use the correct value, as denser fluids require more power.
2.Pump Efficiency (η): Find this on the pump's performance curve at your specific duty point. It is expressed as a decimal (e.g., 75% efficiency is 0.75).
Rule of Thumb: The motor power needs to be multiplied by 1.1 to 1.2 based on the shaft power. Always select a motor with a nominal power rating that is equal to or, more commonly, the next standard size greater than the calculated motor power. Do not rely on the motor's Service Factor to meet the continuous operational load.
Step 3: Match Motor Speed (RPM) to the Pump Curve
The speed of the motor, measured in revolutions per minute (RPM), directly determines the performance of the pump. A pump's performance curve is generated at a specific speed (e.g., 3000RPM or 1500RPM for 50Hz). You must select a motor that operates at the speed for which the pump curve is rated. Operating a pump at a different speed will drastically alter its flow and head characteristics.
1.60 Hz Systems (North America): Common speeds are ~3600 RPM (2-pole) and ~1800 RPM (4-pole).
2.50 Hz Systems (International): Common speeds are ~3000 RPM (2-pole) and ~1500 RPM (4-pole).
Never operate a 50 Hz motor on a 60 Hz supply (or vice versa) without consulting the manufacturer, as it will run faster or slower than intended, leading to damage or poor performance.
Step 4: Decode Motor Enclosures (NEMA and IP Ratings)
The motor enclosure protects its internal components from the surrounding environment. Choosing the right one is critical for safety and longevity. The two common standards are NEMA (North America) and IP (International).


